News
JANUARY 2026
Our PhD student Joaquín Peñuela participated in the Texas Quantum Winter School on Open Quantum Systems and Quantum Information in the Chemical Sciences. In this event, Joaquín presented a poster titled "Fas-driving induced rectification in driven tilted systems", where he discussed his recent advances on controlling electric current in tilted systems by a time-depending driving. Great work, Joaquín!

DECEMBER 2025
I am very happy to share that one of our PhD students, Hirad Alipanah, has received the Best Research Assistant Award in Mechanical Engineering. Hirad has not only made outstanding research contributions during his doctoral work, but he has also participated in several departamental activities. These include his close collaboration with many other PhD students, development of lectures on quantum machine learning to several faculty, and guidance of undergraduate students in spring and fall research experiences. Thanks a lot, Hirad, for all your efforts and for being an amazing member of our team!

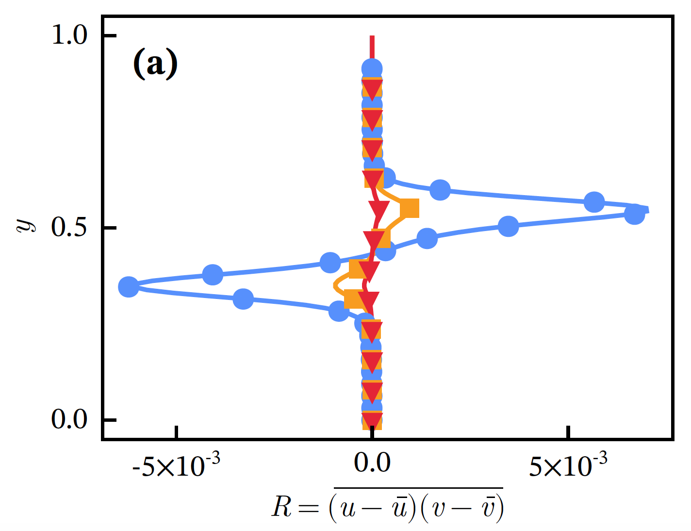
Our paper "Matrix Product State Simulation of Reacting Shear Flows" is now available on arXiv. In this work, we solve the dynamics of compressible and reacting flows using the framework of matrix product states (MPS). Reductions of 30% in memory are demonstrated for all transport variables, accompanied by excellent agreements with direct numerical simulation. The MPS anastaz accurately captures all pertinent flow physics such as reduced mixing due to exothermicity & compressibility, and the formation of eddy shocklets at high Mach numbers. A priori analysis of DNS data at higher Reynolds numbers shows compressions as large as 99.99% for some of the transport variables. This level of compression promotes the use of MPS for simulations of complex turbulent combustion systems. Thanks a lot, Bobby, for your wonderful work. I also thank all the other co-authors: Nikita Gourianov, Hirad Alipanah, Peyman Givi, and Dieter Jaksch.
Our paper, "Quantum Dynamics Simulation of the Advection-Diffusion Equation," has been published in Physical Review Research. In this work, we've explored how quantum algorithms—Trotterization, Variational Quantum Time Evolution (VarQTE), and Adaptive Variational Quantum Dynamics Simulation (AVQDS)—can simulate the advection-diffusion equation, a foundational PDE in transport phenomena such as fluid mechanics and heat transfer. Thanks a lot, Hirad, for producing this remarkable work. And thanks a lot to our collaborators Feng Zhang, Yongxin Yao, Richard Thompson, Nam Nguyen, Junyu Liu, Peyman Givi, and Brian McDermott.

It is very exciting to see that some of our recent developments have been covered by Quantum Zeitgeist! The portal describes our recently-awarded project "Small-Scale Turbulence as a Quantum System", with Prof. Xiang Yang from Pennsylvania State University, and the recent preprint by Bobby Pinkston on simulating compressible and reacting flows using matrix product states.

NOVEMBER 2025
Our paper "Provably Efficient Quantum Algorithms for Solving Nonlinear Differential Equations Using Multiple Bosonic Modes Coupled with Qubits" is now available as a preprint in arXiv. In this work, we propose a novel approach to simulate nonlinear differential equations in quantum hardware based on the Koopman-von Neumann formalism. The solution of the equation is encoded in photonic degrees of freedom, which naturally introduce nonlinearities. We demonstrate the feasibility of the method by solving testbed fluid dynamics equations. I am very thankful to all the co-authors of this work: Yu Gan, Hirad Alipanah, Jinglei Cheng, Zeguan Wu, Guangyi Li, Peyman Givi, Mujeeb R. Malik, Brian J. McDermott, and Junyu Liu.

It was a great pleasure for many of us to participate in the APS Division of Fluid Dynamics Annual Meeting 2025. Prof. Juan José Mendoza Arenas presented the work "Matrix Product State Simulation of Reacting Shear Flows". Hirad Alipanah presented the work "Bosonic Quantum Computing in Computational Fluid Dynamics". Both received the honor of being selected for Interact sessions. Massen Esmaeili presented the oral talk "A priori Assessment of Tensor Networks Encoding for Reduced Order Modeling of Isotropic Turbulence". We are looking forward to participating again in this exciting meeting in 2026.

OCTOBER 2025
Our project "Small-Scale Turbulence as a Quantum System", with Prof. Xiang Yang from Pennsylvania State University, was selected for a New Initiative Grants by the Charles E. Kaufman Foundation! In this project, we will investigate the representation of the small scales of turbulent flows as stochastic processes, similarly to quantum states of many qubits. This research combines the expertise on quantum mechanics and fluid dynamics of the two PIs. More information on this work can be found in the news portal of the University of Pittsburgh!

SEPTEMBER 2025
Our interdisciplinary team, formed by Profs. Masoud Barati, Gurudev Dutt, Peyman Givi, Junyu Liu and Juan Jose Mendoza-Arenas has beed awarded a Teaming Grant for our project, "Hybrid quantum-classical computing applications for engineering". We will develop digital and analog quantum computing algorithms for simulating problems in fluid dynamics and power systems, and will investigate implementations based on photonic systems.

AUGUST 2025
I am very excited to share that a new PhD student, Natalia Valderrama Quinteros, is joining our research group. Natalia is a physicist from Chile. She did her B.Sc. and M.Sc. at Universidad de Santiago de Chile. She has done previous research in correlated quantum systems, Floquet engineering, and density matrix renormalization group. Welcome Natalia!

On Wednesday August 20, I presented the advances achieved during the third year of our AFOSR project "From Many-Body Quantum Systems to Classical Turbulence: Novel Horizons of Tensor Networks", with Prof. Peyman Givi. We are very grateful to Dr. Fariba Farhoo, who has supported this work under the program of "Computational Mathematics".

I'm very excited to share our recent work, "Simulating Quantum Turbulence with Matrix Product States". Using an MPS encoding, we solve the Gross-Pitaevskii equation in various scenarios, achieving a reduction of computational memory usage by factors ranging from 10x to over 10,000x compared to direct numerical simulation. These results demonstrate the representative capabilities of the MPS Ansatz for quantum turbulence, and pave the way for studying this nonequilibrium state using previously-prohibited system sizes to uncover new physics. Thanks a lot Felipe Gómez Lozada, Nicolas Perico-Garcia, Nikita Gourianov, and Hayder Salman for making exciting research possible!

JULY 2025
On August 1st, Tessa Wood and Henry Margasak delivered their final presentations on their summer research performed for the FIRE program of the MEMS department. Tessa's talk, "Quantum Computing for Correlated Quantum Materials", focused on the calculation of nonequilibrium steady states in boundary-driven systems using quantum computing algorithms. Henry's talk, "Tensor Network Analysis of Correlated Fermionic Systems", presented his results on control of superconducting and charge-order states in interacting fermionic systems by quantum light. Many congratulations to both!
I would also like to thank Hirad Alipanah, Joaquín Peñuela, and Haoyuan Chi for participating as technical mentors of Tessa and Henry!

It was very exciting to participate in the 2025 "International Conference on Strongly Correlated Electron Systems", which took place in Montréal, Canada. Here, I presented the talk "Transport and Rectification in Driven Many-Body Tilted Systems", where I presented some of our recent research on nonequilibrium correlated quantum systems. Also, Joaquín Peñuela presented a poster titled "Thermal transport rectification in driven quantum systems", describing his PhD research on rectification by external periodic driving.


MAY 2025
Our paper, "Ground state of a mixture of SU(3) fermions and scalar bosons", has been published in Physical Review A. Here, we explore a system composed of scalar bosons and SU(3) fermions in one dimension, described by the Bose-Fermi-Hubbard Hamiltonian. We identify novel gapped states, in which bosons couple with some or all flavors of fermions. We also unveil different flavor-selective states characterized by itinerant fermions that coexist with an insulator state in which the bosons connect with only one- or two-flavor fermions. This work was performed in collaboration with Prof. Jereson Silva Valencia, during his position in Pitt as a visiting professor.

I'm very happy to welcome Tessa Wood and Henry Margasak to our team. Tessa and Henry are undergraduate Pitt students, who will participate the Facilitating Inclusive Research Experiences (FIRE) program of the MEMS department. Tessa will perform research on quantum computing simulations of open quantum systems. Henry will simulate correlated quantum systems embedded in cavities using tensor networks.


It has been a great pleasure to deliver the "Tutorial on Tensor Network Theory" with Michael Lubasch (Quantinuum), and with support of the Pittsburgh Quantum Institute. It has Las been very exciting to contribute to the "Workshop on Rivals to Quantum Computing" with the talk "Quantum-inspired simulations of fluid dynamics". Here, I discussed our recent results on using matrix product states to simulate 2D compressible reacting flows, and superfluid turbulence.

MARCH 2025
Our paper, "Quantum Dynamics Simulation of the Advection-Diffusion Equation," is now available as a preprint in arXiv. In this work, we've explored how quantum algorithms—Trotterization, Variational Quantum Time Evolution (VarQTE), and Adaptive Variational Quantum Dynamics Simulation (AVQDS)—can simulate the advection-diffusion equation, a foundational PDE in transport phenomena such as fluid mechanics and heat transfer.
Our findings illustrate how quantum computing can revolutionize simulations of complex transport phenomena and pave the way for future quantum advantages in computational engineering.
This is the first paper of our PhD student, Hirad Alipanah. Thanks a lot to our collaborators Feng Zhang, Yongxin Yao, Richard Thompson, Nam Nguyen, Junyu Liu, Peyman Givi, and Brian McDermott.

FEBRUARY 2025
Our PhD students Haoyuan Shi and Joaquín Peñuela have participated in the Visit Day 2024 of the MEMS department. They have shared with our guests the results on their research on transport and photon-mediated physics in correlated electron systems.


NOVEMBER 2024
It has been very exciting to present our research at the APS Division of Fluid Dynamics (DFD) 2024 Annual Meeting in Salt Lake City. Hirad Alipanah presented the talk "Quantum Time Evolution for Solving the Advection Diffusion Equation". Juan José Mendoza Arenas presented the talk "Quantum Inspired Simulations for Reacting Flows".

It has been a pleasure to have Dr. Michael Zwolak visiting our department. Michael is the Group Leader of Biophysics & Biomedical Measurement at NIST. He delivered an exciting seminar on tensor network simulations for many-body quantum transport. Looking forward to having Michael visit again!

OCTOBER 2024
Our article on how dephasing can enhance spin transport in nonequilibrium tilted lattices has just beed published in Frontiers in Physics. This work is the result of a very nice collaboration with Samuel Jacob, Laetitia Bettmann Artur Lacerda and John Goold from Trinity College Dublin; Krissia Zawadzki from Instituto de Física de São Carlos, and Stephen Clark from the University of Bristol.

SEPTEMBER 2024
I am excited to start delivering our new graduate course, “ME 2038/MSE 2049 – Tensor Networks: Computational Methods for Material Sciences, Engineering and Beyond”. In this course, I will present the basics of tensor network theory, the representation of many-body quantum states and general high-order tensors as matrix product states, algorithms for optimization (DMRG) and time evolution (TEBD, TDVP), more advanced tensor networks (Trees, MERA, PEPS), and applications to different fields. Students from different backgrounds, including engineering, physics, chemistry, and computer science, are welcome!

AUGUST 2024
Two new PhD students, Felipe Gómez Lozada and Daniel Madrid, are joining our team. Felipe is a physicist from Colombia. He did his undergraduate studies at Universidad Nacional de Colombia. He has expertise on tensor network methods for simulating systems of interacting bosons, in particular superfluid and insulating states. Daniel works full-time as an R&D engineer at the Naval Nuclear Laboratory (NNL) where he focuses on emerging and enabling technologies in nuclear propulsion. He received his bachelor’s and master’s degree in mechanical engineering from The University of Arizona and Arizona State University, respectively. His research topic is quantum computational fluid dynamics. Welcome, Felipe and Daniel!


JULY 2024
Check out our recent preprint on how dephasing can enhance spin transport in nonequilibrium tilted lattices. This work is the result of a very nice collaboration with Samuel Jacob, Laetitia Bettmann Artur Lacerda and John Goold from Trinity College Dublin; Krissia Zawadzki from Instituto de Física de São Carlos, and Stephen Clark from the University of Bristol.

Check out our recent preprint in which we discuss the insulating and superfluid phases of a mixture of SU(3) fermions and scalar bosons. This work has been done in collaboration with Jereson Silva-Valencia, our visitor from Universidad Nacional de Colombia.

It was great to organize with Peyman Givi the minisymposium "Quantum Computing for Transport Phenomena", which took place in Spokane (WA, United States) from July 8 to July 12 during the 2024 SIAM Annual Meeting (AN24). There, I presented the talk "Quantum-Inspired Simulations of Turbulent Combustion".

JUNE 2024
It has been a pleasure to participate as an invited speaker in the minisymposyum "Coarse Graining Turbulence: Modeling and Data-Driven Approaches and Their Applications I", in honor of Prof. Cesar Dopazzo, at the 9th European Congress on Computational Methods in Applied Sciences and Engineering (ECCOMAS). There, I presented the talk "Matrix Product State Simulation of Reactive Flows".

APRIL 2024
Our PhD student Hirad Alipanah has been awarded one of the "PQI 2024 Best Poster Awards". Many congratulations, Hirad!


